Каждому инвестору, рано или поздно, приходится оценивать результаты своей инвестиционной деятельности или просто видеть значения полученной доходности в отчетах управляющего или брокерских приложениях.
И если вы сформировали портфель один раз и держите его без пополнения или изъятия средств, то подсчет итоговой доходности – простое дело. Но если вы регулярно проводите операции с портфелем, вносите и выводите деньги, то расчет итогового результата становится немного сложнее.
Например, считая доходность двумя разными способами, вы можете получить абсолютно разные результаты, вплоть до того, что при одном методе расчета ваша доходность будет положительной, а при другом отрицательной.
- В этой статье мы расскажем обо всех существующих методах расчета доходности, а также о разнице и выборе между двумя базовыми подходами, с которыми вы будет встречаться в реальных ситуациях.
- Она поможет вам лучше понимать отражаемые в отчетах цифры и собственные результаты. В конце статьи вы найдете файл со всеми расчетами.
Два основных метода оценки доходности
- взвешенный по деньгам (Money-Weighted Rate of Return, MWR);
- взвешенный по времени (Time-Weighted Rate of Return, TWR).
Метод взвешивания по деньгам (MVR) показывает доходность со всеми изъятиями и пополнениями портфеля, в то время как метод взвешивания по времени (TWR), наоборот, показывает доходность, которую получил бы инвестор, если бы держал одну и ту же сумму, не пополняя счет и не изымая денег. Вследствие этого, доходность, рассчитанная разными способами, может значительно отличаться друг от друга.
Начальный пример
Для того, чтобы продемонстрировать разницу методов, рассмотрим следующую ситуацию:

В этом примере, как мы увидим ниже, инвестор потерял 7000 руб., несмотря на это, доходность, взвешенная по времени, будет положительной (+0,4%), а взвешенная по деньгам отразит реальные потери инвестора и будет отрицательной (-0,87%). И оба эти результата корректны!
Чтобы разобраться с тем, как такое возможно, рассмотрим 11 методов, с помощью которых исторически рассчитывалась доходность. Два из них широко применяются и сегодня, а один из этих двух методов является отраслевым стандартом в сфере управления инвестициями.
Методы, относящиеся к MWR (взвешенная по деньгам доходность)
1) Простой IRR (внутренняя норма доходности)
Простая внутренняя норма доходности, в случае использования для оценки доходности портфеля, подразумевает нахождение такого r, при котором выполняется следующее условие:

Где:
- VE - конечная стоимость портфеля;
- VS – начальная стоимость портфеля;
- C – внешний денежный поток.
Также, в простом IRR есть допущение, что все денежные потоки произошли в середине анализируемого периода. Поэтому, чтобы сделать оценку более точной, нужно использовать модифицированный IRR.
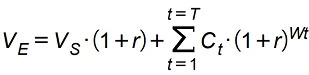
2) Модифицированный IRR (MIRR)
Модифицированная внутренняя норма доходности отражает то же, что и простая IRR, но учитывает то, что каждый денежный поток происходит в разные промежутки анализируемого периода.

- Ct = внешний денежный поток в день t;
- Wt = весовой коэффициент, применяемы в день t.

Где:
- TD = общее количество календарный дней в периоде;
- Dt = количество дней с начала периода.
3) Простой метод Дитца
Простой метод Дитца является способом измерения доходности портфеля, который учитывает все денежные потоки в/из портфеля в течение периода.
Он основан на предположении, что все внешние потоки происходят в середине временного интервала (или равномерно распределены по всему периоду, и таким образом, потоки происходят в среднем в середине периода).

Где:
- VE - Конечная стоимость портфеля;
- VS - Начальная стоимость портфеля;
- С - это чистый внешний денежный поток в течение периода.
4) ICAA
Ассоциация инвестиционных консультантов Америки (ICAA, 1971) предложила прямое расширение простого метода Дитца. Предполагается, что любой доход, полученный портфелем (например, дивиденды или купонные выплаты) будет недоступен для инвестиций управляющим портфелем и переносится на отдельный счет для выплаты непосредственно клиенту.
- Этот метод следует использовать только в том случае, если доход портфеля действительно недоступен управляющему портфелем для дальнейших инвестиций.
Где:
- VS - Начальная стоимость портфеля;
- I - общий доход портфеля (на конец анализируемого периода);
- C’ - внешний денежный поток, включая реинвестированный доход;
- V’E - конечная рыночная стоимость, включая реинвестированный доход.
5) Модифицированный метод Дитца
Это способ измерения доходности портфеля, основанный, в отличие от простого метода Дитца, на взвешивании каждого денежного потока, поэтому считается более точным. Данный метод является наиболее точным среди MWR, а также распространенным среди управляющих портфелями.

Где:
- VE - Конечная стоимость портфеля;
- VS - Начальная стоимость портфеля;
- C- общий внешний денежный поток за период;
- Ct - внешний денежный поток в день t;
- Wt - весовой коэффициент, который будет применяться к внешнему денежному потоку в день t:

где:
- TD = общее количество календарный дней в периоде;
- Dt = количество дней с начала периода.
Среди всех изложенных выше методов MWR, на сегодняшний день наиболее актуальным является Модифицированный метод Дитца. Все остальные методы являются менее точными и использовались управляющими в то время, когда точный моментальный подсчет доходности был затруднителен.
Методы, относящиеся к TWR (взвешенная по времени доходность)
6) TWR (Time-Weighted rate of return)
Взвешенная по времени доходность (TWR) — инвестиционный показатель, отражающий доходность портфеля, которая, в отличие от взвешенной по деньгам доходности (MWR), не зависит от изымания денег или пополнения портфеля, так как это не должно влиять на оценку эффективности работы управляющего портфелем (он, как правило, не может влиять на решения клиента внести и изъять деньги из упраления).
- Доходность, рассчитанная по данному методу является стандартном в финансовой отрасли и в абсолютном большинстве случаев вы видите именно ее.
Вот формула для этого метода:

Где :
- r – взвешенная по времени доходность;
- VS – начальная стоимость портфеля;
- n – количество подпериодов;
- VE – конечная стоимость портфеля;
- Сn - чистый внешний денежный поток в портфель;
- Vn– стоимость портфеля сразу после денежного потока n.
Методы, приближенные к TWR
Следующие 3 метода относятся к приближенным к TWR и могут иметь погрешность при расчёте, но позволяют очень быстро оценить примерную доходность.
7) Метод подстановки индекса
Процедура расчета взвешенной по времени доходности наиболее полно повторяет расчет доходности индекса и, следовательно, дает возможность использовать его в качестве бенчмарка. Поэтому, если точная оценка TWR недоступна, доходность бенчмарка (индекса) можно использовать для оценки стоимости портфеля на дату движения денежных средств.
Рассчитывается по формуле TWR, но доходность портфеля во время денежного потока оценивается по доходности бенчмарка (индекса).
- Данный метод не подходит для оценки доходности, если есть сильные расхождения с бенчмарком.
8) Метод регрессии
Метод регрессии является более широким, нежели метод подстановки индекса, т.к. учитывает риск портфеля (бету).
Рассчитывается по формуле TWR, но доходность портфеля во время денежного потока оценивается по доходности бенчмарка (индекса), с корректировкой на риск портфеля (бету).
- Данный метод не подходит для оценки доходности, если есть сильные расхождения с бенчмарком.
9) Тест аналитиков
Рабочая группа Британского общества инвестиционных аналитиков (SIA, 1972) предложила ещё один метод, основываясь на своём обнаружении, что отношение MWR портфеля к условному фонду (или индексу) приблизительно соответствует отношению TWR портфеля к условному фонду (или индексу).

- MWA - взвешенная по деньгам доходность текущего портфеля
- MWN - взвешенная по деньгам доходность условного фонда (или индекса)
- VA - Стоимость портфеля на конец периода;
- VN - стоимость условного фонда на конец периода;
- CT - общий внешний денежный поток за период;
- CW - взвешенный внешний денежный поток за период;
- TWA - взвешенная по времени доходность текущего портфеля;
- TWN - взвешенная по времени доходность условного фонда.
Гибридные методы
10) Метод BAI (или связанный IRR)
Институт банковского администрирования (BAI, 1968) предложил альтернативный гибридный подход, который, по сути, связывает простые внутренние нормы прибыли (IRR).
- Из-за трудностей в расчете IRR, этот метод не является популярным и практически неизвестен за пределами США.
Для расчёта связанного IRR, перемножают доходности, рассчитанные по простому IRR за каждый период времени.
11) Связанный модифицированный метод Дитца
Альтернативой модифицированному методу Дитца является связывание модифицированных доходностей Дитца за более короткие периоды. Связанный модифицированный метод Дитца классифицируется как метод, взвешенный по времени, но, в отличие от истинного TWR, он не дает тех же результатов, т.к. TWR делает оценку непосредственно после каждого денежного потока.
Возвращаемся к примеру
Для того чтобы продемонстрировать разницу методов, вернемся к задаче, которую мы описывали выше:

Если мы рассчитаем доходность данного портфеля методами, описанными выше, то получим следующие результаты:

Как вы можете видеть из полученных результатов, доходность, рассчитанная разными способами, может демонстрировать совершенно разные результаты.
- Так, вследствие того, что инвестор дополнительно внёс деньги в портфель перед убыточным периодом, его доходность стала отрицательной. Но если бы он не пополнял свой портфель, то получил бы положительную доходность.
Данный пример демонстрирует не только разницу между доходностью, рассчитанную разными способами, но и то, что неправильный выбор времени для пополнения/изъятия денег из портфеля может отразиться на его доходности.
Еще один пример
Предположим, инвестор пытается сделать выбор между двумя управляющими X и Y. Инвестор решает дать деньги в управление обоим и некоторое время следить за результатами, прежде чем вступать в долгосрочные отношения.
Управляющий X первоначально получает $100 000, а Y - $900 000. В следующем году фондовый рынок показывает хорошую доходность, и каждый управляющий зарабатывает для инвестора 50%. На этом этапе, имея портфель у X стоимостью $150 000 долларов и портфель у Y стоимостью $1 350 000, инвестор решает дать X дополнительные $900 000 и Y еще $100 00. Таким образом, чистая стоимость переданных инвестором средств каждому управляющему составляет $1 000 000 долларов.
На второй год фондовый рынок снижается на 50%, и портфель каждого советника падает на 50%. Окончательная стоимость (по прошествии двух лет) портфеля X составляет $525 000, а окончательная стоимость портфеля Y - $725 000.
В конце второго года инвестор (не зная, что такое взвешенное по времени или долларовое значение) оставляет управляющего Y и увольняет X.
- Причина: «Все, что я знаю, это то, что я дал каждому из них по миллиону долларов, а по прошествии двух лет у Y было 725 000, а у X- только 525 000. Поэтому Y справился лучше».
Давайте рассчитаем относительную доходность для обоих управляющих. Доходность, вешанная по деньгам:
- Доходность управляющего X: -45%
- Доходность управляющего Y: -15.6%
Взвешенная по времени доходность для обоих управляющих: 13.4%.
Таким образом, комментарий инвестора несправедлив, потому оба управляющих получили одинаковую взвешенную по времени доходность (13.4%), которая складывается исключительно из факта положительной доходности в 50% в первый год и в убытке в 50% во второй год.
И, хотя, верно, что в долларовом (абсолютном) выражении управляющий Y превзошел X (это показывает взвешенная по деньгам доходность), это правда только потому, что Y получил бОльшую часть инвестиций перед хорошим годом и лишь небольшую часть – перед плохим. Для X все было наоборот.
Это демонстрирует, что инвестиционные консультанты, управляющие фондами и т.д. не несут ответственность за время осуществления денежных потоков (вводов и выводов) в инвестиционных портфелях клиентов (когда сами не советуют этого). В этом примере X и Y не контролировали денежные потоки инвестора и поэтому их результаты нужно оценить как равные (по взвешенной по времени доходности).
Выводы
Оба базовых метода расчёта доходности имеют свою ценность, и каждый из них следует использовать в разных ситуациях.
- Если вы хотите оценить свой собственный результат, учитывая, что вы могли вводить и выводить деньги из портфеля не в самое лучшее время (или наоборот), то используйте методы MWR (взвешенная по деньгам доходность), наиболее точным из которых является Модифицированный метод Дитца (метод №5). Они отражают результат действий каждого отдельного инвестора и всегда имеют знак абсолютного (в рублях) финансового результата.
- Если вы хотите оценить результат работы управляющего вашим портфелем, то наиболее разумно использовать метод TWR (метод №6 - взвешенная по времени доходность), так как управляющий (как правило) не несёт ответственности за то, в какой момент времени инвестор решит внести или изъять деньги, поэтому это не должно отражаться на его фактическом результате (доходности). В этом случае знак значения доходности может не совпадать со знаком абсолютного (в рублях) финансового результата.
- Доходность, рассчитанная по методу TWR, является стандартной в финансовой отрасли и в абсолютном большинстве случаев вы видите именно ее.
Файл с расчетами доходности по приведенному примеру всеми 11 способами можно скачать по этой ссылке (.xls)
======
Эта статья частично основана на материалах из книги Carl R. Bacon, Practical Portfolio Performance Measurement and Attribution.
-
Управляющая компания "ДОХОДЪ", общество с ограниченной ответственностью (далее Компания) не обещает и не гарантирует доходность вложений. Решения принимаются инвестором самостоятельно. Информация, представленная здесь, не является индивидуальной инвестиционной рекомендацией, а упоминаемые финансовые инструменты могут не подходить вам по инвестиционным целям, допустимому риску, инвестиционному горизонту и прочим параметрам индивидуального инвестиционного профиля.
При подготовке представленных материалов была использована информация из источников, которые, по мнению специалистов Компании, заслуживают доверия. При этом данная информация предназначена исключительно для информационных целей и не содержит рекомендаций. Никто ни при каких обстоятельствах не должен рассматривать эту информацию в качестве предложения о заключении договора на рынке ценных бумаг или иного юридически обязывающего действия, как со стороны Компании, так и со стороны ее специалистов.
Ни Компания, ни ее агенты, ни аффилированные лица не несут никакой ответственности за любые убытки или расходы, связанные прямо или косвенно с использованием этой информации. Данная информация действительна на момент ее публикации, при этом Компания вправе в любой момент внести в информацию любые изменения. Компания, ее агенты, работники и аффилированные лица могут в некоторых случаях участвовать в операциях с ценными бумагами, упомянутыми выше, или вступать в отношения с эмитентами этих ценных бумаг. Результаты инвестирования в прошлом не определяют доходы в будущем, государство не гарантирует доходность инвестиций в ценные бумаги. Компания предупреждает, что операции с ценными бумагами связаны с различными рисками и требуют соответствующих знаний и опыта.
Читайте также
